Danh mục sản phẩm
Giỏ hàng
Tin tức
CVV/FR – 0,6/1 kV
CVV/FR – 0,6/1 kV
- Model: CVV/FR
- Cấp điện áp: 0,6/1 kV
- Ruột dẫn: Đồng mềm
- Tiết diện danh nghĩa: 1,5 ÷ 630mm2
- Cách điện: PVC
- Lớp chống cháy: Băng mica chịu nhiệt
- Cấp chịu nhiệt: 70°C (bình thường)
- Nhiệt độ ngắn mạch: ~160°C (tối đa 5 giây)
- Tiêu chuẩn: TCVN 5935-1 / IEC 60502-1; TCVN 6612 / IEC 60228; IEC 60331-21; IEC 60332-1,3; BS 6387; BS 4066-1,3.
CVV/FR – 0,6/1 kV
CÁP CHỐNG CHÁY, RUỘT ĐỒNG, BĂNG MICA, CÁCH ĐIỆN PVC, VỎ FR–PVC
Cáp chống cháy CVV/FR dùng cho hệ thống phân phối điện được thiết kế để duy trì nguồn điện cho các thiết bị, hạn chế sự lan truyền của ngọn lửa khi bị ảnh hưởng bởi hỏa hoạn, sử dụng phù hợp trong các công trình... cấp điện áp 0,6/1 kV, lắp đặt cố định.
Cáp chống cháy sử dụng phù hợp trong các công trình công cộng, hệ thống điện dự phòng, hệ thống khẩn cấp, hệ thống báo cháy, hệ thống phun nước chữa cháy, hệ thống báo khói và hút khói, hệ thống đèn thoát hiểm...
Cấu trúc CVV/FR – 0,6/1 kV
- Ruột dẫn (Conductor): Đồng (Cu)
- Lớp chống cháy (Fire resistant layer): Băng mica quấn quanh ruột dẫn, chịu nhiệt cao
- Cách điện (Insulation): PVC
- Lớp độn (Filler): PP (Polypropylene) hoặc băng quấn PET
- Vỏ bọc ngoài: FR-PVC (PVC chống cháy lan)

Tiêu chuẩn áp dụng
TCVN 5935-1 / IEC 60502-1.
TCVN 6612 / IEC 60228.
IEC 60331-21; IEC 60332-1,3.
BS 6387; BS 4066-1,3.
Nhận biết lõi
- Bằng màu cách điện hoặc vạch màu:
+ Cáp 1 lõi: Màu đen.
+ Cáp nhiều lõi: Màu đỏ – vàng – xanh dương – đen.
- Hoặc theo yêu cầu khách hàng.
Đặc tính kỹ thuật
- Cấp điện áp U0/U: 0,6/1 kV.
- Điện áp thử: 3,5 kV (5 phút).
- Nhiệt độ làm việc dài hạn cho phép của ruột dẫn là 70°C.
- Nhiệt độ cực đại cho phép của ruột dẫn khi ngắn mạch trong thời gian không quá 5 giây là:
+ 140°C, với tiết diện lớn hơn 300mm2.
+ 160°C, với tiết diện nhỏ hơn hoặc bằng 300mm2.
- Cáp chịu cháy ở 950°C trong 3 giờ; đáp ứng tiêu chuẩn BS 6387 Cat. C, W, Z.
- Dây chống cháy có đặc điểm truyền lửa chậm nên khó bắt cháy.
- Dây có khả năng tự tắt sau khi loại bỏ nguồn lửa.
CÁP CVV/FR - 1 ĐẾN 4 LÕI

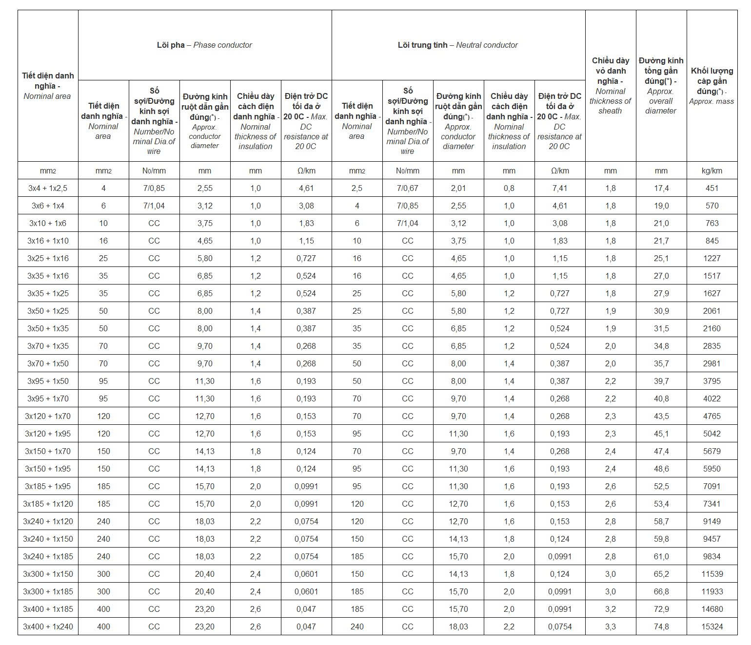
CÁP CVV/FR - 3 PHA + 1 TRUNG TÍNH

CC: Ruột dẫn tròn xoắn ép chặt.
(*): Giá trị tham khảo - Đây là giá trị ước tính đường kính, ước tính khối lượng sản phẩm nhằm phục vụ cho công tác thiết kế, vận chuyển, lưu kho sản phẩm. Không phải là chỉ tiêu đánh giá chất lượng sản phẩm.






